Évaluation de différents degrés de boiterie induite chez le chien : analyse préliminaire comparative utilisant un nouveau système basé sur des capteurs
Introduction
La boiterie canine exige des méthodes d'évaluation précises pour guider les praticiens dans le diagnostic, la planification du traitement et la rééducation. Les progrès technologiques récents, tels que les systèmes à base de capteurs, ont considérablement amélioré la capacité d'évaluer et de quantifier objectivement la boiterie.
Cette étude présente une approche novatrice de l'évaluation des degrés de boiterie induite, tirant parti d'un nouveau logiciel d'analyse utilisant un système basé sur les capteurs de locomotion Tendiboots et des demi sphères imprimées en 3D de diamètres variables.
Matériel et méthodes
Un chien de race mixte (Photo 1) a servi de sujet unique pour cette étude expérimentale. Ses données ont été enregistrées à l'aide d'un système innovant et simple d'utilisation, composé de quatre capteurs IMU et une application mobile dédiée (Photo 2).
|
Photo 1 : Le sujet de l’étude porte les Tendiboots |
Photo 2 : Facile à porter et à utiliser. |
La méthode employée pour induire la boiterie impliquait l'utilisation de demi sphères imprimées en 3D sur mesure avec différents diamètres (Photo 3) qui étaient stratégiquement fixées sur les coussinets numériques DP-3 et DP-4 (Photo 4), comme des recherches antérieures ont confirmé qu'il s'agissait de coussinets porteurs de poids majeurs chez les chiens.
|
Photo 3 : Les demi sphère en impression 3D |
Photo 4 : Les demi sphère 3D sphère collée sur |
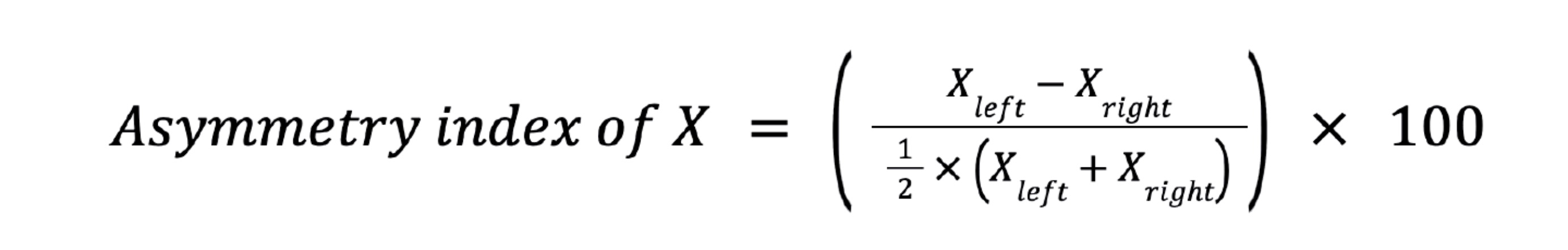
Une fois l'analyse automatisée terminée, les résultats de chaque enregistrement ont été transférés dans un tableur pour une analyse statistique manuelle. Dans ce tableur, l'indice d'asymétrie de chaque paramètre a été calculé à l'aide de la formule dédiée (Éq. 1).
|
La formule qui permet d’évaluer l’asymétrie à travers différents paramètres |
Pour une validation supplémentaire des degrés de boiterie induite, deux vétérinaires externes, dont un expert en locomotion canine, ont été consultés. Ils ont évalué indépendamment les enregistrements vidéo de la démarche du chien et attribué des degrés de boiterie.
Leurs évaluations ont été réalisées à l'aveugle, sans connaissance des conditions expérimentales, garantissant ainsi des évaluations objectives de la gravité de la boiterie.
Résultats
Les résultats de cette étude apportent des informations précieuses sur les effets de la boiterie induite, évalués à l'aide d'un système de capteurs.
Les résultats ont révélé des modifications significatives de la répartition du poids et de la force de réaction au sol maximale (GRF) suite à l'induction de la boiterie, avec des asymétries marquées entre les membres antérieurs gauche et droit (Tableau).
|
Résumé des données pour chaque vidéo |
L’influence du diamètre de la demi sphère sur l’indice d’asymétrie du pic GRF |
L'ampleur de ces altérations variait en fonction de la gravité de la boiterie induite, les demi sphères plus grandes entraînant des asymétries plus prononcées (Graphique).
Conclusions
- Des changements importants dans la répartition du poids et le pic de GRF ont été observés après l'introduction de la boiterie.
- Forte corrélation entre l’indice d’asymétrie et les degrés de boiterie évalués par les vétérinaires à partir d'images vidéo.
- L'indice d'asymétrie peut servir d'indicateur fiable de la gravité de la boiterie.
- Les résultats préliminaires valident le système basé sur des capteurs pour évaluer différents degrés de boiterie induite.
- Limite de l’étude : échantillonnage limiter et focalisation sur le pic de GRF comme paramètre principal.
- Ce système offre un outil novateur et objectif pour suivre les progrès de la rééducation chez les chiens.
.png)
Partager
Twitter
Pinterest
LinkedIn





Laissez un commentaire
Login to post comments